Arbeitsblatt 2 zu M 3

Hier sind die Ergebnisse in einer Übersicht zusammengestellt.

Für die gleichmäßig beschleunigte Bewegung ( a = konstant ) gilt:

Wenn v = 0 für t = 0

(1) v = a t

(Geschwindigkeits-Zeit-Gesetz)

Wenn v = v0 für t = 0

(3) v = a t + v0

(Geschwindigkeits-Zeit-Gesetz)

(2) s = ½ a t2

(Weg-Zeit-Gesetz)

(4) s = ½ a t2 + v0 t

(Weg-Zeit-Gesetz)

Bei verzögerten Bewegungen ist a negativ.

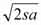
Aus den Gleichungen (1) und (2) kann man berechnen, wie v vom zurückgelegten Weg s abhängt. Dazu formt man die Gleichung (1) nach t um : t = v/a . Den Term für t setzt man in die Gleichung (2) ein. Man erhält dann:

s = ½ a (v/a)2 = ½ v2/a . Daraus folgt: 2 s a = v2 oder v = (wenn v = 0 für t = 0 ).

Wendet man das gleiche Verfahren auf die Gleichungen (3) und (4) an, so erhält man v = .